Menu

Friction factor

Question or remark ? Please contact us at contact@myengineeringtools.com


1. Definition of friction factor
2. Calculation of friction factor
3. Hagen-Poiseuille relation


1. Definition of friction factor

The friction factor is representing the loss of pressure of a fluid in a pipe due to the interactions in between the fluid and the pipe.

Calculation Friction Factor
f/2=friction factor - fanning
D=Pipe diameter in m
um=mean velocity in m/s
ΔPf=pressure drop due to friction in Pa
L=length of pipe in m
ρ=specific gravity in kg/m3

2. Calculation of friction factor

How to find the friction factor of a pipe ? The different formula below allow you to calculate the friction factor of a pipe.

In Laminar regime f/2=8/Re

In turbulent regime, different correlations can be used

Blasius (only applicable to smooth pipes) f/2=0.023.Re-0.20


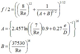
Churchill (applicable for any Re and ratio e/D)

Calculation of Churchill Correlation

With e the pipe roughness in m

Another possibility is to use the Moody Diagram which is actually a friction factor chart where the friction factor can be read directly.

3. Hagen-Poiseuille relation

In Laminar regime, the volumic flowrate can be calculated thanks to the Hagen-Poiseuille equation

Hagen Poiseuille Law

Q=volumic flowrate in m3/s
μ=dynamic viscosity in Pa.s

Source

Mecanique et Rheologie des fluides en genie chimique, Midoux, Lavoisier 1993, page 162, page 274-275