What is the hydraulic diameter ? The hydraulic diameter, defined as
the ratio in between 4 times the flow section over the wetted
perimeter, allows, for non circular flows, to define an equivalent
diameter which allows to perform fluid dynamic calculation.
The hydraulic diameter is especially useful when having to calculate a Reynolds number in order to determine the flow regimes (laminar, intermediary, turbulent).
What is meant by hydraulic diameter ?
The hydraulic diameter is used for non-circular flow and is calculated thanks to the following general formula : DH=4*(flow section)/(wetted perimeter)

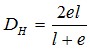
The Hydraulic Diameter formula for 2 simple geometries : rectangular duct and annulus are given below.


You can access here an Excel Calculator to calculate the hydraulic diameter defined above.
Warning : this calculator is provided to illustrate the concepts mentioned in this webpage, it is not intended for detail design. It is not a commercial product, no guarantee is given on the results. Please consult a reputable designer for all detail design you may need.

Mecanique et Rheologie des fluides en genie chimique, Noel Midoux, Lavoisier Tec et Doc, page 197