Follow us on Twitter ![]()
Question, remark ? Contact us at contact@myengineeringtools.com
| Section summary |
|---|
| 1. Definition of
heat conduction |
| 2. Heat conduction
through a wall |
| 3. Heat conduction through a composite
wall |
| 4. Free Excel calculator for heat wall
conduction |
A material submitted to a differential of temperature will conduct heat, i.e. energy, from the high temperature to the low temperature area. Understanding conduction through a material and being able to calculate the heat flux through a wall or a tube for instance is key in order to perform heat balances and be able to perform the following design calculations :
The heat flux can be calculated for both cooling and heating applications.
Each material is characterized by an ability to conduct heat. It is translated in a thermal conductivity coefficient commonly noted λ . One must be careful as λ can vary a lot from one material to another and can also vary with the temperature. When conducting heat is a priority, like in the design of heat exchanger, λ must be high, while when isolating is a priority, like designing a building or insulating pipes in between process units, λ must be low. It is possible also to associate different materials, especially in insulation applications, in order to reach a target λ while optimizing cost and width of the layers of material.

Figure 1 : Heat flux through a plane wall of a material of conductivity λ
Conduction through a wall can be expressed simply. The conduction will be higher if the thermal conductivity of the material is higher and its thickness is low. On the contrary if insulation is looked for, conduction will be lower if the thermal conductivity of the material is low and the wall thickness is large.
The heat transferred by conduction through the wall can be expressed the following way :
Q = U.A.ΔT
With :
Q = heat transferred in W
U = overall heat transfer coefficient in W/m2.°c
A = heat transfer area in m2
ΔT = temperature difference on each surface of the wall in °c
The heat flux, which is the heat transferred expressed as a function of the heat exchange area, can be calculated the following way :
Φ = Q/A = U.ΔT
With :
Φ = heat flux in W/m2
Q = heat transferred in W
U = overall heat transfer coefficient in W/m2.°c
A = heat transfer area in m2
ΔT = temperature difference on each surface of the wall in °c
In the case of a simple wall, monomaterial, the overall heat transfer can be expressed by :
U = 1/R = 1/(e/λ)
With :
U = overall heat transfer coefficient in
W/m2.°c
R = heat transfer resistance in m2.°c/W
e = wall thickness in m
λ = material thermal conductivity in W/m.°c
For a single monomaterial wall, the expressions can then be summarized as :
Φ = Q/A = (Tskin1-Tskin2)/R = (Tskin1-Tskin2)/(e/λ)
With :
Tskin1 = temperature on
the surface of the wall 1 in °c
Tskin2 = temperature on the surface of the wall 2 in °c
Example of heat conduction through a wall : in summer, the owner of a house made only of brick walls wants to know the heating transmitting through the wall of his house, so that he can decides if he needs to insulate for energy savings. Bricks have a conductivity of 0.8 W/m/K and are 15 cm wide. The wall is 6 m long per 3 m high. He measures 35 degrees on the outside surface and 22 degrees on the surface of the wall inside.
Φ = Q/A = (Tskin1-Tskin2)/R = (Tskin1-Tskin2)/(e/λ) = (35-22)/(0.15/0.8) = 69.3 W/m2.°c
Q = Φ*A = 69.3*6*3 = 1248 W = 1.2 kW
In many cases, especially when insulation is looked for, the wall is not made of a single material, but of several layers of materials having different properties. It is a composite wall. It is then common to have a material that is bringing the structural need of the wall, and a material that is providing an insulation.

Due to the simple geometry of plane - parallels walls, the expressions developped for the simple wall are conserved, only the global resistance of the composite wall must be recalculated in order to take into account the resistance of the individual layers. In the case of a composite walls, those resistances are additive.
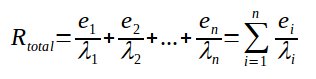
Considering a wall made of n layers of thickness ei and conductivity λi, the total resistance of the composite wall will be :

With :
Rtotal = heat transfer resistance of the composite wall
in m2.°c/W
ei = wall thickness in m of the layer i
λi = material thermal conductivity in W/m.°c of the layer
i
It is then possible to calculate the heat flux through the composite wall, knowing the surface temperatures on the surface of each side of the wall.
Φ = Q/A = (Tskin1-Tskin2)/R
With :
Tskin1 = temperature on
the surface of the wall 1 in °c
Tskin2 = temperature on the surface of the wall 2 in °c
Example of heat conduction through a wall composite wall : the owner of the house we introduced in the example of paragraph 2 is thinking that a heat of 1.2 kW coming from the wall is too high, he then decides to add a layer of 5 cm of expanded polystyrene in order to insulate the building . The rest of the wall is still be made of bricks. Bricks have a conductivity of 0.8 W/m/K and are 15 cm wide. Expanded polystyrene has a thermal conductivity of 0.04W/m/K The wall is 6 m long per 3 m high. He measures now 35 degrees on the outside surface and 22 degrees on the surface of the wall inside.
Rtotal = 0.15/0.8+0.05/0.04 = 1.4375
Φ = Q/A = (Tskin1-Tskin2)/R = (Tskin1-Tskin2)/(e/λ) = (35-22)/(1.4375) = 9.05 W/m2.°c
Q = Φ*A = 9.05*6*3 = 162 W = 0.162 kW
The owner has been able to reduce the
heat load by 7.7 by insulating the wall. This will lead to energy
savings and a better energy efficiency of the building.
