Follow us on Twitter ![]()
Question, remark ? Contact us at contact@myengineeringtools.com
Spherical tanks are used in process industries for large storages of liquified gases such as ammonia, LPG, butadiene, propylene. Spherical vessels are particularly interesting for high pressure storage as the spherical shape is more advantgeous than cyclindrical ones to resist pressure (since pressure is evenly distributed) while it also reduces the surface of the tank relative to the volume compared to other tank designs.

Although spherical vessels must be properly insulated, the reduction of the surface is key to limit heat transfer to the stored liquid.
With :
R = tank radius (m)
h = actual height of liquid in the tank (m)
r1 = radius at the surface of the liquid level in the tank (m)
α = angle from center of sphere to liquid level
This page is explaining how to calculate the volume in the tank as a function of the level of liquid h. To calculate the partial volume in the tank it is necessary to know the geometrical characteristics of the sphere (its diameter or radius) as well as the height of liquid from the bottom of the tank.
Top 5 Most
Popular
1. Compressor
Power Calculation
2. Pump Power Calculation
3. Pipe Pressure
Drop Calculation
4. Fluid Velocity in pipes
5. Churchill Correlation
(friction factor)
The angle α can be calculated thanks to the following formula :
cos α = (1-h/R)
The radius r1 which is radius of the pool of liquid can be calculated thanks to the following formula :
r1 = (R-h) tan α
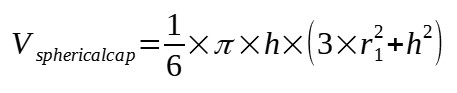
The volume of the spherical cap can be calculated with the following formula :
Vspherical_cap = 1/6*π*h*(3*r12+h2)

To be noted that the formula above allows to find out the well known formula for the volume of a sphere : considering that full r1=0 (level reaches the top of the tank) and that h = 2R, then :
Vsphere_full = 1/6*π*2R*(0+(2R)2) = 1/6*π*8*R3 = 4/3*π*R3
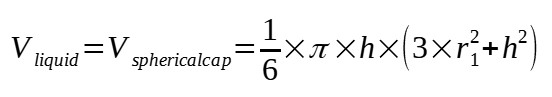
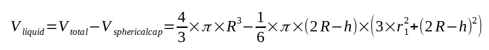
With respect to the definition of the volume of the spherical cap, there are different cases to consider :


You can download a calculator to compute the volume of a partially filled spherical tank : Spherical tank volume calculator Excel.
Warning : this calculator is provided to illustrate the concepts mentioned in this webpage, it is not intended for detail design. It is not a commercial product, no guarantee is given on the results. Please consult a reputable designer for all detail design you may need.