Follow us on Twitter ![]()
Question, remark ? Contact us at contact@myengineeringtools.com
Water critical parameters : [Dincer]
Water triple point parameters : [Dincer]
How does the density of liquid water vary with temperature ?
What is the equation to calculate the density of water ?
ρ=[((((a*T+b)*T+c)*T+d)*T+e)*T+f] / (1+g*T) [Kell]
With
ρ = density (kg/m3)
T = temperature (c)
a= -2.8054253⋅10-10
b = 1.0556302⋅10-7
c = -4.6170461⋅10-5
d = -0.0079870401
e = 16.945176
f = 999.83952
g = 0.01687985
Range of validity : [-30 ; 150] c
Note that another equation, equivalent can be found in the literature :
ρ= = (f + e*T + d*T2 + c*T3 + b*T4 + a*T5)/(1+g*T)
Top 5 Most
Popular
1. Compressor
Power Calculation
2. Pump Power Calculation
3. Pipe Pressure
Drop Calculation
4. Fluid Velocity in pipes
5. Churchill Correlation
(friction factor)
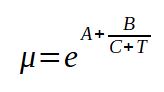
How does the viscosity of liquid water vary with temperature ? What is the equation to calculate the viscosity of water ?
μ = exp(-3.7188+578.919/(-137.546+T))
With
μ = viscosity (mPa.s)
T = temperature (K)
A = -3.7188
B = 578.919
C = -137.546
Range of validity : [273 ; 373] K
How does the thermal conductivity of liquid water vary with temperature ? What is the equation to calculate the thermal conductivity of water ?
λ'=-1.48445+4.12292*T'-1.63866*T'2 [NIST]
With
λ' = λ(T)/λ(298.15)
λ(298.15) = 0.6065 W.m-1.K-1
λ(T) = thermal conductivity of water at temperature T (W.m-1.K-1)
T' = T/298.15
T = temperature of water (K)
Range of validity : [274 ; 370] K
How does the vapor pressure of water vary with temperature ? What is the equation to calculate the vapor pressure of water ?
log(Ps) = 8.07131 - 1730.63 / (233.426 + T)
With
Ps = Saturation pressure (mmHg) - note, to switch to Pa, multiply by 133.322 Pa/mmHgYou can access an Excel tool to apply the formula detailed above and make calculations. This tool contains :
Warning : this calculator is provided to illustrate the concepts mentioned in this webpage, it is not intended for detail design. It is not a commercial product, no guarantee is given on the results. Please consult a reputable designer for all detail design you may need.
